上海发布12月新能源车型备案信息,荣威Ei5/北汽LITE等48款车型入选
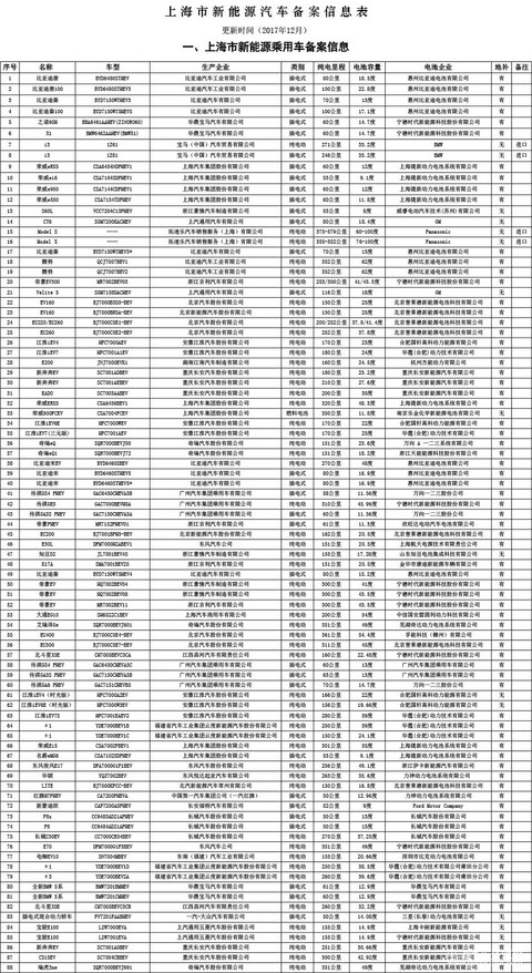
12月25日,上海市新能源汽车备案信息表(2017年12月)发布。12月新增23款新能源乘用车,新增25款新能源商用车。更新后的备案信息共有新能源乘用车88款、新能源商用车57款。
新能源乘用车方面,包括荣威Ei5、东风俊风E17、华骐、北汽LITE、红旗H7PHEV、新蒙迪欧、WEY P8s/P8、长城C30EV、E70、电咖EV10、云度π1/π3、全新BMW 5系、北斗星X5E、宝骏E100、新奔奔EV、瑞虎3xe、一汽大众插混、长安CS15EV等车型。
新能源商用车方面,包括东风汽车、苏州金龙、中通客车、上汽商用车、申龙客车、中车时代、厦门金旅、舒驰客车、北汽福田、厦门金龙、成都大运、昌河汽车、奇瑞汽车、宇通客车等上榜。具体车型有中通6808、大通EV80、大通FCV80、东风海豚、大运E3、北斗星X5E、开瑞优优等车型。


来源:第一电动网
本文地址:
本文版权为第一电动网(www.d1ev.com)所有,未经书面授权,任何媒体、网站以及微信公众平台不得引用、复制、转载、摘编、以其他任何方式使用上述内容或建立镜像。违反者将被依法追究法律责任。
文中图片源自互联网,如有侵权请联系admin@d1ev.com删除。
相关内容
全部评论·2
暂无评论

